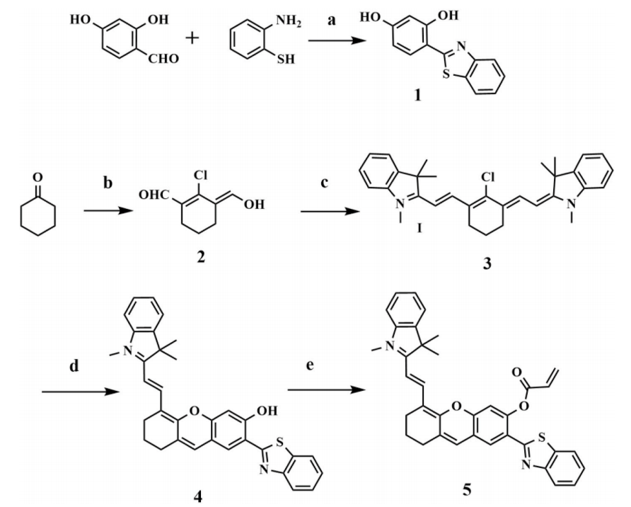
名稱:HI probe
組成:2,4-二羥基-苯甲醛 2-氨基苯硫醇 cyanine 3 1,2,3,3-tetramethyl-3H-indolium
粒徑:
應用:腫瘤耐藥監控
儲存條件:-4℃
其他說明:密封狀態下保質期半年【主要優勢】不但可以用于體外環境中谷胱甘肽及半胱氨酸的高特異性檢測與定量分析,同時可以實現活體腫瘤及細胞內二者的實時監控和波動報告,且檢測、識別過程不受其他非特異性氨基酸的影響。將該探針應用于細胞和生物體腫瘤,不但有助于研究谷胱甘肽及半胱氨酸在一系列生理和病理過程中發揮的作用,同時可以對化療過程中腫瘤瘤體內部的氧化還原調控能力進行評估和報告,進而監控腫瘤耐藥的發生。
題目:
Development of a NIR fluorescent probe for the detection of intracellular cysteine and glutathione and the monitoring of the drug resistance文章鏈接:
https://mp.weixin.qq.com/s?__biz=MzIxMTI4MTE5OQ==&mid=2247488173&idx=1&sn=5a7e3e7485a2e463f55b5d0d4538818b&chksm=9756e6eda0216ffb52334b6ca285dd3007290206cf5f8bc4cd89ae9088814728fb7715ca0fcb&scene=27
留言咨詢
|
|
 |
| 生物納米材料前沿 |
 |
| 納米醫學Frontier |
|
溫馨提示:蘇州北科納米供應產品僅用于科研,不能用于人體,不同批次產品規格性能有差異。網站部分文獻案例圖片源自互聯網,圖片僅供參考,請以實物為主,如有侵權請聯系我們立即刪除。
提示說明:納米材料工藝和制備可能會有改變 所有納米材料均支持按需定制 下單前聯系客服確認產品詳細信息。 |